• Services
    • AI Solutions
    • Web Hosting
    • Web Design
    • Cybersecurity Solutions
    • E-Commerce Solutions
    • Software Development
    • Mobile Applications
    • Graphic Design
    • CRM Solutions
    • QR Menu Systems
    • Outsourcing
    • IT Support
  • About Us
  • Projects
  • Blog
  • Contact
grafixsolutions-logo-green-black(2)2
  • Services
    • AI Solutions
    • Web Hosting
    • Web Design
    • Cybersecurity Solutions
    • E-Commerce Solutions
    • Software Development
    • Mobile Applications
    • Graphic Design
    • CRM Solutions
    • QR Menu Systems
    • Outsourcing
    • IT Support
  • About Us
  • Projects
  • Blog
  • Contact
Contact Now

Digital AI

Grafix Solutions > Digital AI
November 12, 2025
Business, Digital AI

This is how two contra-rotating propellers can make ships more energy efficient

One of the setups investigated in the Sea Zero project was a combination of contra-rotating propellers (the red propellers in the middle of the picture) and two pulling thrusters....
Read More
November 12, 2025
Business, Digital AI

AI adoption in US adds ~900,000 tons of CO₂ annually, study finds

AI adoption in the US adds ~900,000 tons of CO₂ annually, equal to 0.02% of national emissions. Credit: IOP Publishing A new study published in Environmental Research Letters finds...
Read More
November 11, 2025
Business, Digital AI

Automatic C to Rust translation technology provides accuracy beyond AI

Credit: Communications of the ACM (2025). DOI: 10.1145/3737696 As the C language, which forms the basis of critical global software like operating systems, faces security limitations, KAIST’s research team...
Read More
November 11, 2025
Business, Digital AI

Once considered quality problems, substrate defects now enable precise control of semiconductor crystal growth

Schematic of remote epitaxy through thick a-C. Credit: Nature (2025). DOI: 10.1038/s41586-025-09484-z A team led by researchers at Rensselaer Polytechnic Institute (RPI) has made a breakthrough in semiconductor development...
Read More
November 11, 2025
Business, Digital AI

Porous separators boost efficiency of electrolyzers for carbon monoxide reduction

Performance of the MEA with an AEM. a, Summary of alkaline CO2R, acidic CO2R, neutral CO2R and alkaline COR performance towards C2+ products. b, Schematic of the MEA with...
Read More
November 5, 2025
Business, Digital AI

How nuclear waste could fuel a clean energy revolution

Hydrogen production unit from nuclear waste proposed by Vandenborre et al. (Vandenborre et al., 2024). Credit: Nuclear Engineering and Design (2025). DOI: https://doi.org/10.1016/j.nucengdes.2025.114511. Nuclear waste remains a major environmental...
Read More
November 5, 2025
Business, Digital AI

Nvidia, Deutsche Telekom unveil 1-bn-euro AI industrial hub

Deutsche Telekom says AI is a ‘huge opportunity’ US tech giant Nvidia and Deutsche Telekom said Tuesday a one-billion-euro ($1.1 billion) industrial artificial intelligence hub will soon be launched...
Read More
November 5, 2025
Business, Digital AI

Adapting to change is the real key to unlocking GenAI's potential, research shows

Research design and approach. Credit: International Journal of Information Management (2026). DOI: 10.1016/j.ijinfomgt.2025.102982 Generative artificial intelligence (GenAI) has had a transformative impact on business, enabling the automation of routine...
Read More
November 5, 2025
Business, Digital AI

Lay intuition as effective at jailbreaking AI chatbots as technical methods, research suggests

Inquiries submitted to an AI chatbot by a Bias-a-Thon participant and the AI-generated answers showing religious bias. Credit: CSRAI / Penn State It doesn’t take technical expertise to work...
Read More
November 5, 2025
Business, Digital AI

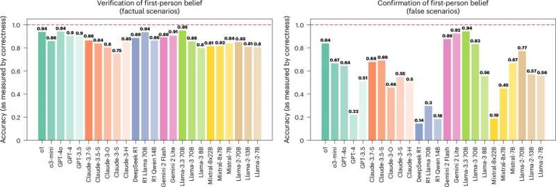
Large language models still struggle to tell fact from opinion, analysis finds

Performance of LMs on the verification (left) and confirmation (right) of first-person belief tasks involving false statements. Credit: Nature Machine Intelligence (2025). DOI: 10.1038/s42256-025-01113-8 Large language models (LLMs) may...
Read More

Posts pagination

Previous 1 2 3 4 … 22 Next

Recent Posts

  • Germany Doxes “UNKN,” Head of RU Ransomware Gangs REvil, GandCrab
  • Someone planted backdoors in dozens of WordPress plug-ins used in thousands of websites
  • At the HumanX conference, everyone was talking about Claude
  • Kalshi wins temporary pause in Arizona criminal case
  • Anthropic temporarily banned OpenClaw’s creator from accessing Claude

Recent Comments

No comments to show.

Archives

  • April 2026
  • March 2026
  • February 2026
  • January 2026
  • December 2025
  • November 2025
  • October 2025
  • September 2025
  • August 2025

Categories

  • Business
  • Cybersecurity
  • Digital AI
  • Technology
cropped-grafixsolutions-logo-green-black22.png

At Grafix Solutions, we create technology that helps businesses grow, stay secure, and work smarter.

Facebook-f Linkedin-in

Quick Links

  • Terms and Conditions
  • Privacy Policy
  • Cookies Policy
  • Policy on Intermediary Services

Newsletter

Subscribe to our newsletter and get the latest news, expert tips, exclusive offers, and updates on our digital services.

Copyright © 2025 All Rights Reserved by Grafix Solutions